欢迎移步博主CSDN:CSDN博客
无向图的两种遍历算法的实现
简介
图是由顶点的有穷非空集合和顶点之间边的集合组成,通常表示为
$$ G = (V,E) $$
如果图的任意两个顶点之间的边都是无向边,则称该图为无向图,否则称该图为有向图。
图的两种遍历算法思想
- 深度优先遍历算法思想
(1)访问顶点v;
(2)从v的未被访问的邻接点中选取一个顶点w,从w出发进行深度优先遍历;
(3)重复上述两步,直至图中所有和v有路径相通的顶点都被访问到 - 广度优先遍历算法思想
(1)访问顶点v;
(2)依次访问v的各个未被访问的邻接点v1,v2,v3......
(3)分别从v1,v2,v3......出发依次访问它们未被访问的邻接点,并使先被访问顶点的邻接点先于后被访问顶点的邻接点被访问。直至图中所有与顶点v有路径相通的顶点都被访问到。
采用邻接矩阵存储
图的邻接矩阵存储也称为数组表示法,其方法是用一个以为数组存储图中顶点的信息,用一个二维数组存储图中边的信息,存储顶点之间临界关系的二维数组称为邻接矩阵。
以下面这个无向图为例进行实现
- 该无向图的
DFS访问顺序:V0->V1->V4->V5->V2->V3 - 该无向图的
BFS访问顺序:V0->V1->V2->V3->V4->V5
为了省时间(其实是自己懒 ),此处省略邻接矩阵的构造过程,采用手动写入边集和点集构建该无向图。
//手动构造图的点集和边集
//点集
int[] vector = {
0,1,2,3,4,5
};
//边集
int[][] arc ={
{0,1,1,1,1,0},
{1,0,0,0,1,0},
{1,0,0,0,1,0},
{1,0,0,0,0,0},
{1,1,1,0,0,1},
{0,0,0,0,1,1}
};
//记录是否访问
int[] visited = {
0,0,0,0,0,0
};深度优先遍历(递归实现)
//图的深搜DFS,递归
public static void DFS(int[] vector, int[] visited, int[][] arc,int i){
//访问结点并标记
System.out.println(vector[i]);
visited[i]=1;
for (int j = 0;j<vector.length; ++j){
if (visited[j]==0 && arc[i][j]==1)
DFS(vector,visited,arc,j);
}
}
深度优先遍历 (非递归实现)
//图的深搜DFS ,非递归
public static void DFS(int[] vector, int[] visited, int[][] arc){
//访问第一个顶点并入栈
System.out.println(vector[0]);
Stack<Integer> stack = new Stack<Integer>();
stack.push(0);
visited[0] = 1;
while(!stack.isEmpty()){
//获取栈顶元素
int x = stack.peek();
//标志位
boolean flag = false;
for (int i = 0; i<vector.length;++i){
if (visited[i]==0 && arc[x][i]==1){
System.out.println(vector[i]);
//入栈
stack.push(i);
//更改访问位,标志位
visited[i] = 1;
flag = true;
break;
}
}
//出栈
if (!flag)
stack.pop();
}
}
广度优先遍历
//图的广搜BFS,非递归
public static void BFS(int[] vector, int[] visited, int[][] arc){
Queue<Integer> queue = new LinkedList<Integer>();
//第一个顶点入队
queue.offer(0);
while (!queue.isEmpty()){
//出队
int x = queue.poll();
//访问结点并标记
System.out.println(vector[x]);
visited[x] = 1;
//寻找连通的结点并入队
for (int i = 0; i<vector.length;++i){
if (visited[i]==0 && arc[x][i]==1){
queue.offer(i);
visited[i] = 1;
}
}
}
}采用邻接表存储
图的邻接表存储是一种顺序存储与链接存储相结合的存储方法,类似于数的孩子链表表示法。对于图的每个顶点v,将所有邻接于v的顶点链成一个单链表,称为顶点v的边表(对于有向图则称为出边表)。
顶点类:
/**
* @Author zbl
* @Date: 2019/11/18/ 17:59
* @Description
*/
//顶点结点
public class VertexNode{
public int vertex;
public ArcNode firstEdge;
}边表类:
/**
* @Author zbl
* @Date: 2019/11/18/ 17:12
* @Description
*/
//边结点
public class ArcNode {
//邻接点域
public int adjvex;
public ArcNode next;
public ArcNode(){}
public ArcNode(int adjvex,ArcNode arcNode) {this.adjvex=adjvex;this.next=arcNode;}
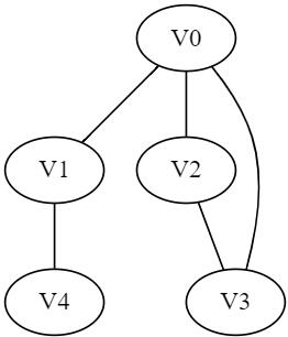
}以下面这个无向图为例进行实现
- 该无向图的
DFS访问顺序:V0->V1->V4->V2->V3 - 该无向图的
BFS访问顺序:V0->V1->V2->V3->V4
为了省时间(其实是自己懒 ),此处省略邻接表的构造过程,采用手动写入边集和点集构建该无向图。
//手动构造图的点集和边集
//手动构造点集和边集
VertexNode[] vertex = new VertexNode[5];
for (int i = 0;i<vertex.length;++i){
vertex[i] = new VertexNode();
vertex[i].vertex=i;
}
ArcNode V03 = new ArcNode(3,null);
ArcNode V02 = new ArcNode(2,V03);
ArcNode V01 = new ArcNode(1,V02);
ArcNode V12 = new ArcNode(4,null);
ArcNode V11 = new ArcNode(0,V12);
ArcNode V22 = new ArcNode(3,null);
ArcNode V21 = new ArcNode(0,V22);
ArcNode V32 = new ArcNode(2,null);
ArcNode V31 = new ArcNode(0,V32);
ArcNode V41 = new ArcNode(1,null);
vertex[0].firstEdge=V01;
vertex[1].firstEdge=V11;
vertex[2].firstEdge=V21;
vertex[3].firstEdge=V31;
vertex[4].firstEdge=V41;
for(int i = 0; i<visited.length; ++i)
visited[i] = 0;
深度优先遍历(递归实现)
/**
* @Description: 图的深搜DFS,邻接矩阵存储,递归
* @Param: [vertex, visited, i]
* @return: void
* @Author: zbl
* @Date: 2019/11/18
*/
public static void DFS(VertexNode[] vertex,int[] visited,int i){
System.out.println(vertex[i].vertex);
visited[i]=1;
ArcNode tmp = vertex[i].firstEdge;
while(tmp != null){
int j = tmp.adjvex;
if(visited[j]==0)
DFS(vertex,visited,j);
tmp = tmp.next;
}
}深度优先遍历 (非递归实现)
/**
* @Description: 图的深搜DFS,邻接矩阵存储,非递归
* @Param: [vertex, visited]
* @return: void
* @Author: zbl
* @Date: 2019/11/18
*/
public static void DFS(VertexNode[] vertex,int[] visited){
Stack<Integer> stack = new Stack<Integer>();
//访问第一个顶点并入栈
System.out.println(vertex[0].vertex);
stack.push(0);
visited[0]=1;
//栈不为空
while(!stack.isEmpty()){
boolean flag = false;
//获取栈顶但不弹栈
int i = stack.peek();
ArcNode tmp = vertex[i].firstEdge;
//遍历边表
while(tmp!=null){
if (visited[tmp.adjvex]==0){
//访问并入栈
System.out.println(vertex[tmp.adjvex].vertex);
stack.push(tmp.adjvex);
//更改访问位,标志位
visited[tmp.adjvex]=1;
flag = true;
break;
}
tmp = tmp.next;
}
//弹栈
if(!flag)
stack.pop();
}
}广度优先遍历
/**
* @Description: 图的广搜BFS,邻接矩阵存储,非递归
* @Param: [vertex, visited]
* @return: void
* @Author: zbl
* @Date: 2019/11/18
*/
public static void BFS(VertexNode[] vertex,int[] visited){
for (int i = 0; i<vertex.length; ++i){
ArcNode tmp = vertex[i].firstEdge;
//若未访问,则访问并标记
if (visited[i]==0){
System.out.println(vertex[i].vertex);
visited[i]=1;
}
while(tmp!=null){
//若未访问,则访问并标记
if (visited[tmp.adjvex]==0){
System.out.println(vertex[tmp.adjvex].vertex);
visited[tmp.adjvex]=1;
}
tmp = tmp.next;
}
}
}完整函数代码
顶点类和边表类在上面已经给出,在此就不重复放出来了。
import javafx.scene.shape.Arc;
import java.util.LinkedList;
import java.util.Queue;
import java.util.Stack;
/**
* author zbl
*
* datetime 2019.11.18
*
*/
public class Main {
//图的深搜DFS ,非递归
public static void DFS(int[] vector, int[] visited, int[][] arc){
//访问第一个顶点并入栈
System.out.println(vector[0]);
Stack<Integer> stack = new Stack<Integer>();
stack.push(0);
visited[0] = 1;
while(!stack.isEmpty()){
//获取栈顶元素
int x = stack.peek();
//标志位
boolean flag = false;
for (int i = 0; i<vector.length;++i){
if (visited[i]==0 && arc[x][i]==1){
System.out.println(vector[i]);
//入栈
stack.push(i);
//更改访问位,标志位
visited[i] = 1;
flag = true;
break;
}
}
//出栈
if (!flag)
stack.pop();
}
}
//图的深搜DFS,递归
public static void DFS(int[] vector, int[] visited, int[][] arc,int i){
//访问结点并标记
System.out.println(vector[i]);
visited[i]=1;
for (int j = 0;j<vector.length; ++j){
if (visited[j]==0 && arc[i][j]==1)
DFS(vector,visited,arc,j);
}
}
//图的广搜BFS,非递归
public static void BFS(int[] vector, int[] visited, int[][] arc){
Queue<Integer> queue = new LinkedList<Integer>();
//第一个顶点入队
queue.offer(0);
while (!queue.isEmpty()){
//出队
int x = queue.poll();
//访问结点并标记
System.out.println(vector[x]);
visited[x] = 1;
//寻找连通的结点并入队
for (int i = 0; i<vector.length;++i){
if (visited[i]==0 && arc[x][i]==1){
queue.offer(i);
visited[i] = 1;
}
}
}
}
/**
* @Description: 图的深搜DFS,邻接矩阵存储,非递归
* @Param: [vertex, visited]
* @return: void
* @Author: zbl
* @Date: 2019/11/18
*/
public static void DFS(VertexNode[] vertex,int[] visited){
Stack<Integer> stack = new Stack<Integer>();
//访问第一个顶点并入栈
System.out.println(vertex[0].vertex);
stack.push(0);
visited[0]=1;
//栈不为空
while(!stack.isEmpty()){
boolean flag = false;
//获取栈顶但不弹栈
int i = stack.peek();
ArcNode tmp = vertex[i].firstEdge;
//遍历边表
while(tmp!=null){
if (visited[tmp.adjvex]==0){
//访问并入栈
System.out.println(vertex[tmp.adjvex].vertex);
stack.push(tmp.adjvex);
//更改访问位,标志位
visited[tmp.adjvex]=1;
flag = true;
break;
}
tmp = tmp.next;
}
//弹栈
if(!flag)
stack.pop();
}
}
/**
* @Description: 图的深搜DFS,邻接矩阵存储,递归
* @Param: [vertex, visited, i]
* @return: void
* @Author: zbl
* @Date: 2019/11/18
*/
public static void DFS(VertexNode[] vertex,int[] visited,int i){
System.out.println(vertex[i].vertex);
visited[i]=1;
ArcNode tmp = vertex[i].firstEdge;
while(tmp != null){
int j = tmp.adjvex;
if(visited[j]==0)
DFS(vertex,visited,j);
tmp = tmp.next;
}
}
/**
* @Description: 图的广搜BFS,邻接矩阵存储,非递归
* @Param: [vertex, visited]
* @return: void
* @Author: zbl
* @Date: 2019/11/18
*/
public static void BFS(VertexNode[] vertex,int[] visited){
for (int i = 0; i<vertex.length; ++i){
ArcNode tmp = vertex[i].firstEdge;
//若未访问,则访问并标记
if (visited[i]==0){
System.out.println(vertex[i].vertex);
visited[i]=1;
}
while(tmp!=null){
//若未访问,则访问并标记
if (visited[tmp.adjvex]==0){
System.out.println(vertex[tmp.adjvex].vertex);
visited[tmp.adjvex]=1;
}
tmp = tmp.next;
}
}
}
public static void main(String[] args) {
//手动构造点集和边集
//点集
int[] vector = {
0,1,2,3,4,5
};
//边集
int[][] arc ={
{0,1,1,1,1,0},
{1,0,0,0,1,0},
{1,0,0,0,1,0},
{1,0,0,0,0,0},
{1,1,1,0,0,1},
{0,0,0,0,1,1}
};
//记录是否访问
int[] visited = {
0,0,0,0,0,0
};
System.out.println("===============邻接矩阵Start===============");
System.out.println("Start DFS:");
DFS(vector,visited,arc);
System.out.println("End DFS\n");
for(int i = 0; i<visited.length; ++i)
visited[i] = 0;
System.out.println("Start DFS:");
DFS(vector,visited,arc,0);
System.out.println("End DFS\n");
for(int i = 0; i<visited.length; ++i)
visited[i] = 0;
System.out.println("Start BFS:");
BFS(vector,visited,arc);
System.out.println("End BFS");
System.out.println("===============邻接矩阵End===============\n");
System.out.println("===============邻接表Start===============");
//手动构造点集和边集
VertexNode[] vertex = new VertexNode[5];
for (int i = 0;i<vertex.length;++i){
vertex[i] = new VertexNode();
vertex[i].vertex=i;
}
ArcNode V03 = new ArcNode(3,null);
ArcNode V02 = new ArcNode(2,V03);
ArcNode V01 = new ArcNode(1,V02);
ArcNode V12 = new ArcNode(4,null);
ArcNode V11 = new ArcNode(0,V12);
ArcNode V22 = new ArcNode(3,null);
ArcNode V21 = new ArcNode(0,V22);
ArcNode V32 = new ArcNode(2,null);
ArcNode V31 = new ArcNode(0,V32);
ArcNode V41 = new ArcNode(1,null);
vertex[0].firstEdge=V01;
vertex[1].firstEdge=V11;
vertex[2].firstEdge=V21;
vertex[3].firstEdge=V31;
vertex[4].firstEdge=V41;
for(int i = 0; i<visited.length; ++i)
visited[i] = 0;
System.out.println("Start DFS:");
DFS(vertex,visited);
System.out.println("End DFS\n");
for(int i = 0; i<visited.length; ++i)
visited[i] = 0;
System.out.println("Start DFS:");
DFS(vertex,visited,0);
System.out.println("End DFS\n");
for(int i = 0; i<visited.length; ++i)
visited[i] = 0;
System.out.println("Start BFS:");
BFS(vertex,visited);
System.out.println("End BFS");
System.out.println("===============邻接表End===============");
}
}
注意事项
以上代码只适用于强连通图!!!
以上代码只适用于强连通图!!!
以上代码只适用于强连通图!!!重要的事说三遍。
参考文献
- 王红梅,胡明,王涛编著. 数据结构(C++版)(第二版)[M]. 清华大学出版社.